Välikokeet 2010
Välikokeet 2009
Välikokeet 2008
Välikokeet 2006
Välikokeet 2005
Välikokeet 2004
Välikokeet 2003
Tentit 2002
- Tentti 2.9.2002:
--GIF--,
--PS-- ,
--PDF-- ,
ja sen ratkaisut
--GIF--,
--PS-- ,
--PDF-- .
- Tentti 6.4.2002:
--GIF--,
--PS-- ,
--PDF-- ,
ja sen ratkaisut
--GIF--,
--PS-- ,
--PDF-- .
- Tentti 21.1.2002:
--GIF--,
--PS-- ,
--PDF-- ,
ja sen ratkaisut
--GIF--,
--PS-- ,
--PDF-- ,
Välikokeet 2001
-
1. välikoe ma 15.10.2001 klo. 12-15:
-
Koealue: Luennoilla viikoilla 37-40 käsitellyt asiat = harjoituksissa
1-4 käsitellyt asiat = Kreyszigistä luvut: 12.1, 12.2, 12.6, 12.8, 12.9,
6.1 - 6.7 ja 7.1 - 7.5.
-
--GIF--,
--PS-- ,
--PDF--
ja sen ratkaisut
--GIF--,
--PS-- ,
--PDF-- .
-
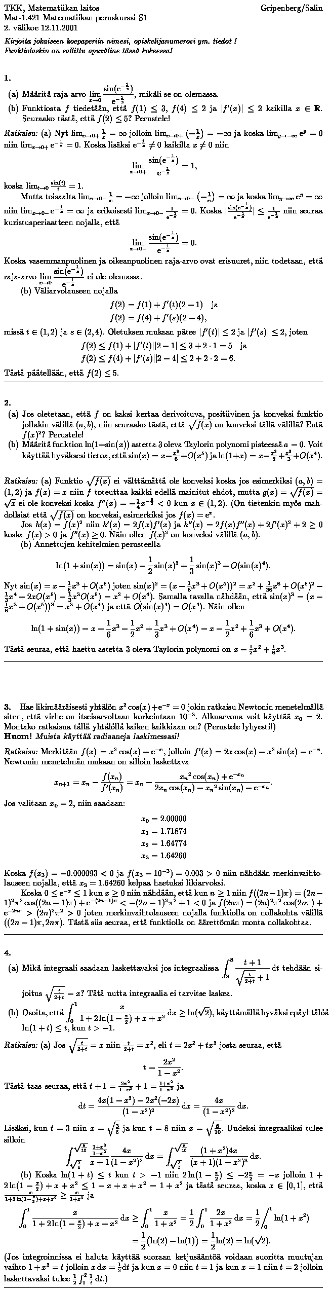
2. välikoe ma 12.11.2001 klo. 12-15:
-
Koealue: Luennoilla viikoilla 41-44 käsitellyt asiat =
harjoituksissa 5-8 käsitellyt asiat = Adamsista luvut:
1, 2, 3.1-3.6, 4, 5 ja 6.2.
-
--GIF--,
--PS-- ,
--PDF--
ja sen ratkaisut
--GIF--,
--PS-- ,
--PDF-- .
-
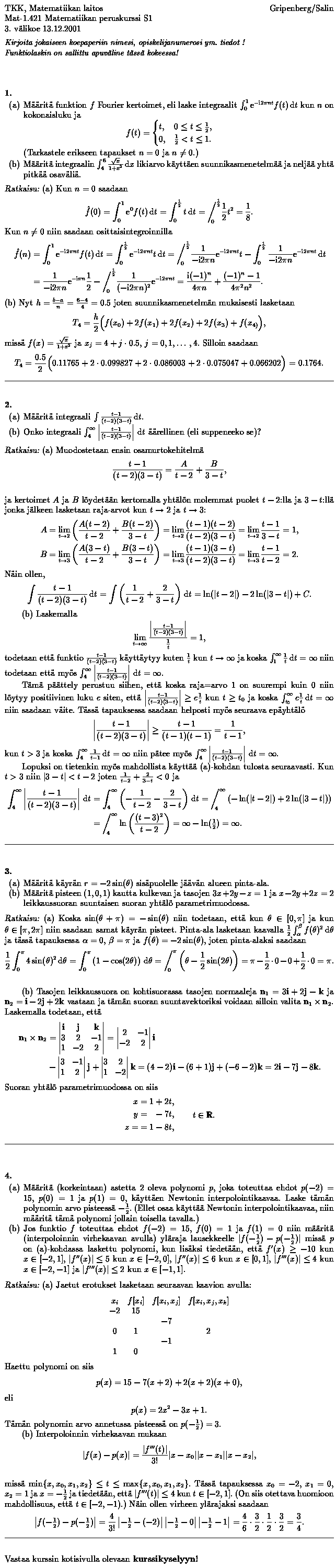
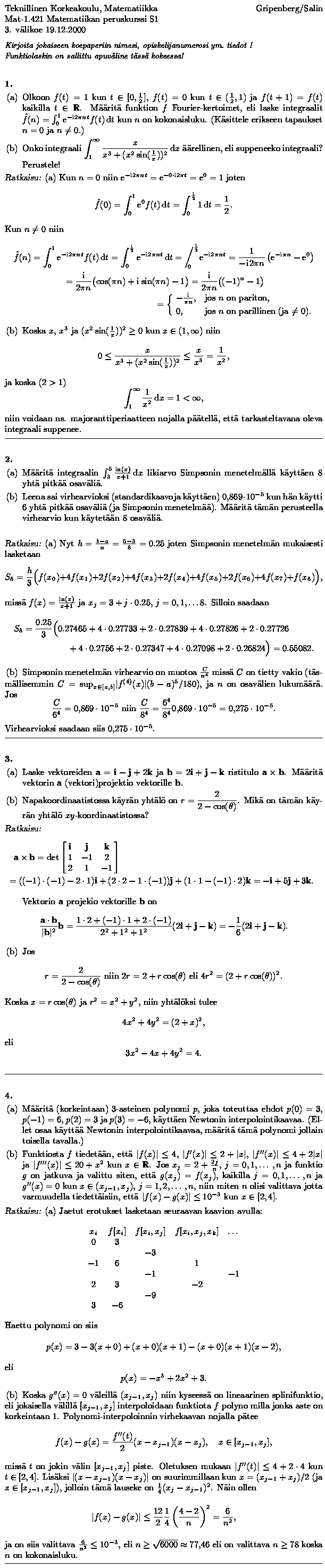
3. välikoe to 13.12.2001 klo. 13-16:
-
Koealue (1. ja 2. vk:n koealueen lisäksi): Viikoilla 45-48 käsitellyt
asiat = harjoituksissa 9-12 (eli viikoilla 46-49) käsitellyt asiat = Adamsista luvut Ad4: 6,
7.1-7.3, 8, 10.1-10.4, 11.1-11.5 ja Kreyszigistä luvut Kr8:17.3, 17.4
-
--GIF--,
--PS-- ,
--PDF--
ja sen ratkaisut
--GIF--,
--PS-- ,
--PDF-- .
Tentit 2001
- Tentti 3.9.2001:
--GIF--,
--PS-- ,
--PDF-- ,
ja sen ratkaisut
--GIF--,
--PS-- ,
--PDF-- .
- Tentti 7.4.2001:
--GIF--,
--PS-- ,
--PDF-- ,
ja sen ratkaisut
--GIF--,
--PS-- ,
--PDF-- .
- Tentti 10.1.2001:
--GIF--,
--PS-- ,
sen ratkaisut
--GIF--,
--PS-- .
Välikokeet 2000
Tentit 2000
Välikokeet 1999
Vanhoja tenttejä
-
Tentti 20.12.1999:
--GIF--,
--PS--
ja sen ratkaisut
--GIF--,
--PS-- .
-
Tentti 2.9.1999:
--GIF--,
--PS--
ja sen ratkaisut
--GIF--,
--PS--
-
Tentti 17.4.1999:
--GIF--,
--PS--
ja sen ratkaisut
--GIF--,
--PS--
-
Tentti 14.1.1999:
--GIF--,
--PS--
ja sen ratkaisut
--GIF--,
--PS--
-
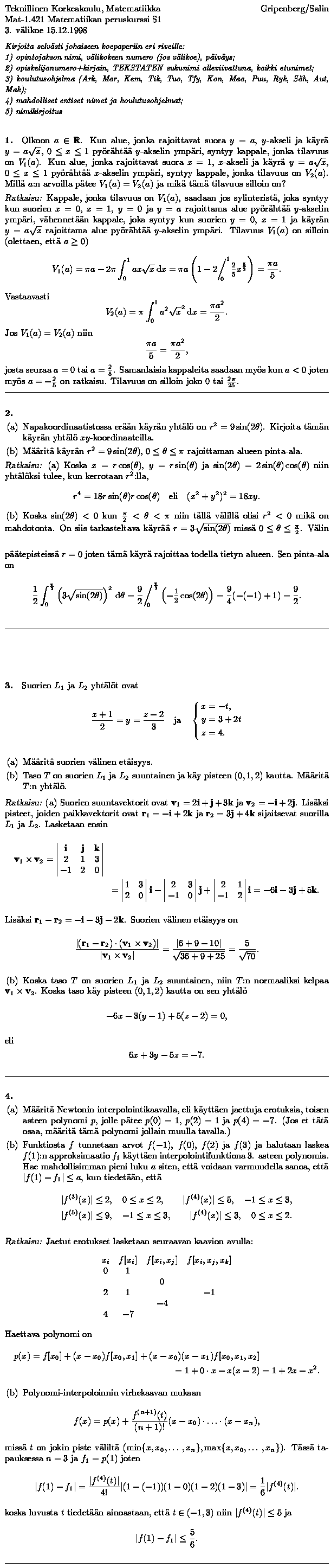
Tentti 15.12.1998
--GIF--,
--PS--
ja sen ratkaisut
--GIF--,
--PS--
-
Tentti 4.9.1998
--GIF--,
--PS--
ja sen ratkaisut
--GIF--,
--PS--
-
Tentti 2.9.1996 (PS)
-
Tentti 22.5.1996 (PS)
-
Tentti 19.1.1996 (PS) ja sen
ratkaisut (PS)
-
Tentti 15.12.1995 (PS) ja sen
ratkaisut (PS)
Vanhoja välikokeita
|