K1:n opetusaikataulu ja sisältö 2003
Luennot viikolla n = harjoitukset viikolla n+1 (suurin piirtein).
(Huom: Ad5 = Adamsin kirjan 5. laitos, vast Ad4 ja Ad3; pelkkä Ad = laitokset 3, 4, 5 ; tiivistelmät/kaavat löytyvät isompina paketteina sivun lopusta.)
-
- Euklidiset avaruudet, vektorilaskenta (Ad5,4: 10.1-3)(Ad3: 12.1-3)
tiivistelmä
- Suorat ja tasot (Ad5,4: 10.4)(Ad3: 12.4)
-
-
- Lineaarinen riippumattomuus ja kannat (Ad5,4: 10.6)(Ad3: 12.6)
tiivistelmä
- Lineaarikuvaukset (Ad5,4: 10.6)(Ad3: 12.6)
- Ominaisarvot ja ominaisvektorit (Ad5,4: 10.6)(Ad3: 12.6)
tiivistelmä
-
-
- derivointisääntöjä (Ad5,4: 2.3-2.4, 3.1)(Ad3: 2.3, 2.5, 4.1) kaavoja kaavoja
- implisiittinen derivointi ja osittaisderivaatat (Ad5,4: 2.9, 12.3)(Ad3: 2.8, 13.3) tiivistelmä
- korkeammat derivaatat (Ad5,4: 2.8)(Ad3: 2.7) kaavoja
- väliarvolause ja derivaatan sovellutuksia (Ad5,4: 2.6-2.7, 2.11)(Ad3: 5.1, 2.6, 3.1) kaavoja
-
- eksponentti- ja logaritmifunktio (Ad5,4: 3.2-3.3)(Ad3: 4.2-4.3) kaavoja
- trigonometriset funktiot ja niiden käänteisfunktiot (Ad5,4: P6, 2.5, 3.5)(Ad3: P6, 2.4, 4.5) kaavoja
- hyperboliset funktiot (Ad5,4: 3.6)(Ad3: 4.6) kaavoja
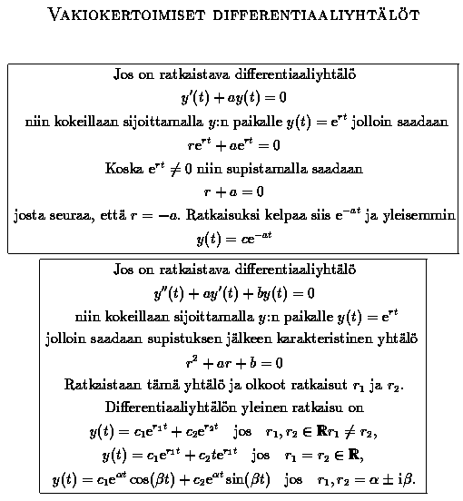
- antiderivaatta (l. määräämätön integraali) ja vakiokertoimiset lineaariset differentiaaliyhtälöt (Ad5,4: 2.10, 3.7)(Ad3: 2.9, 4.7) tiivistelmä
- ääriarvot ja funktion kulku (Ad5,4: 4.2-4.5)(Ad3: 3.3-3.4, 5.2-5.4) kaavoja kaavoja
- yhtälöiden numeerinen ratkaiseminen (Ad5,4: 4.6)(Ad3: 3.6) tiivistelmä
- funktion lineaarinen approksimaatio ja Taylorin polynomit (Ad5,4: 4.7-4.8)(Ad3: 3.5, 11.4) tiivistelmä
- (määrätty) integraali (Ad5,4: 5.1-5.5, 5.7)(Ad3: 6.1-6.5, 6.7)
tiivistelmä
- integrointi sijoituksen avulla (Ad5,4: 5.6, 6.2)(Ad3: 6.6, 7.2) tiivistelmä
- osittaisintegrointi (Ad5,4: 6.1)(Ad3: 7.1) tiivistelmä
- rationaalifunktioiden integrointi (Ad5,4: 6.3-6.4)(Ad3: 7.3-7.4) tiivistelmä
-
- epäoleelliset integraalit (Ad5,4: 6.5)(Ad3: 7.5) kaavoja
- numeerinen integrointi (Ad5,4: 6.6-6.7)(Ad3: 7.6-7.7) kaavoja
- separoituvat differentiaaliyhtälöt (Ad5,4: 7.9)(Ad3: 8.9) tiivistelmä
- toisen asteen käyrät (l. kartioleikkaukset) (Ad5,4: 8.1)(Ad3: 9.1) (om.arvot ja om.vektorit: ks. vko 4.) tiivistelmä
- parametriset käyrät (Ad5,4: 8.2-8.4)(Ad3:9.2-9.4) tiivistelmä
- napakoordinaatit (Ad5,4: 8.5-8.6)(Ad3: 9.7-9.8) tiivistelmä
- vektorifunktioiden derivointi, kaarevuus (Ad5,4: 11.1, 11.3-11.5)(Ad3: 16.1, 16.3-16.5) tiivistelmä
- käyräintegraali ja kaarenpituusintegraali (Ad5,4: 15.3-15.4)(Ad3: 17.3-17.4) tiivistelmä
Tiivistelmät/kaavat PS ja PDF-muodossa: