Luentoaikataulu
Huom! Tämä sivu on vanhentunut. Kurssitiedot löytyvät syksystä 2008 alkaen Nopasta.

Luennot syksyllä 2007: ti-ke-to klo 8-10, päärakennuksen luentosali M. Kurssin luennoivat Teijo Arponen ja Tuomo Kuusi.

Muistathan sulkea matkapuhelimesi saapuessasi luentosaliin!

Luennot alkavat tiistaina 11.9. ja laskuharjoitukset viikolla 38 (17.9. alkava viikko). Luentoja ja harjoituksia on 11.5 viikkoa.

K1:n luentojen aiheet 2007

in English.
Luennot viikolla n = vastaavat harjoitukset viikolla n+1.
Tenttitauko 25.10-31.10.2007. Tuolloin ei luentoja eikä harjoituksia.
Ad = R.A. Adams: Calculus, A Complete Course 6. painos, mutta 5. ja 4. painos ovat lähes samoja.
Lay = D.C.Lay: Linear Algebra, 3. painos update (en tunne aiempia painoksia).
Tiivistelmät/kaavat (enimmäkseen G. Gripenbergin kirjoittamia) löytyvät tekstin seasta.
Näitä aikatauluja tarkennetaan kurssin kuluessa.
  1. vko (ti 11.9 - to 13.9)
    • Lukion kertausta, matemaattiset merkinnät, todistamisesta (Ad: P1)
    • Tason vektorit, pistetulo (Ad: P2, 10.2)
    • Trigonometriset funktiot, yksikköympyrä (Ad: P7)
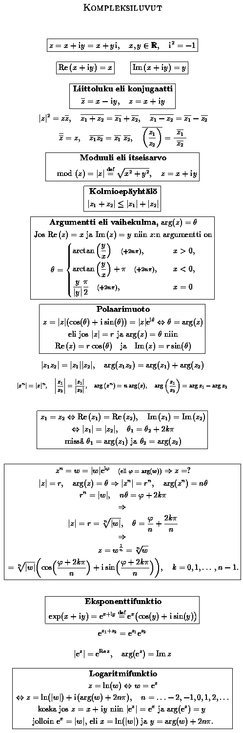
    • Kompleksiluvut (Ad: App. I, Lay: App. B) tiivistelmä
  2. vko
    • Kompleksilukuja (juuret!)
    • Euklidiset avaruudet, vektorit, projektio (Ad: 10.1, 10.2) kaavoja
    • Tasot 3-ulotteisessa avaruudessa (Ad. 10.4)
  3. vko
    • 3-ulotteisen avaruuden ristitulo (Ad: 10.3)
    • Tasot ja suorat 3-ulotteisessa avaruudessa (Ad. 10.4)
  4. vko
    • Lineaariset yhtälöryhmät ja matriisit (Lay: 1.1-1.2) Gaussin algoritmi
    • Lineaarialgebraa: Lay 1.2-1.6.
    • Lineaarinen riippuvuus/riippumattomuus (Lay: 1.7) tiivistelmä
    • 1. VÄLIKOKEEN ALUE PÄÄTTYY TÄHÄN (Adams P1, P2, P7, 10.1-10.4, App.I, Lay 1.1-1.7, App.B, laskuharjoituskierrokset 1-4.)
  5. vko
  6. vko
  7. vko (ti-ke 23-24.10, to 1.11)
    • Matriisin diagonalisointi (Lay: 5.3)
    • Diagonalisointi lineaarikuvausten analysoinnissa (Lay: 5.4-5.5)
    • Kompleksiset ominaisarvot (Lay: 5.5) Esimerkki.
    • Raja-arvon käsite (Adams: luku 1)
    • Kertaus lineaarialgebrasta viikot 5-7.
  8. vko
    • Jatkuvuuden käsite (Adams luku 1)
    • Derivaatoista ja sovelluksia (Ad: luku 2)
    • Väliarvolause IVT (Ad: App.III)
    • Ketjusääntö (Ad: 2.4)
    • Väliarvolause MVT (Ad: 2.6)
    • Lineaarinen approksimaatio (Ad: 2.7)
    • 2. VÄLIKOKEEN ALUE PÄÄTTYY TÄHÄN (Lay 1.8-1.9, 2.1-2.3, 3.1-3.2, 5.1-5.5. Adams P4, App.III, 1.1-1.5, 2.1-2.7, 2.11, laskuharjoituskierrokset 5-8.)
  9. vko
    • Implisiittinen derivointi (Ad: 2.9)
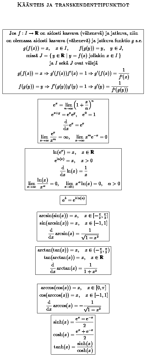
    • Transkendenttiset alkeisfunktiot (sin, arcsin, cos, arccos, tan, arctan, log, exp). (Ad.: luku 3)
    • arctan etc. tiivistelmä.
    • Funktion kulku ja ääriarvotehtävät (Ad: 4.2-4.5).
  10. vko
  11. vko
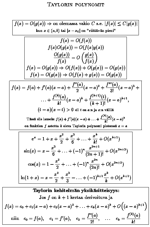
    • Taylorin polynomit ja raja-arvojen laskemisesta (määrittämättömät muodot) (Ad: 4.8-4.9) Tiivistelmiä: 1., 2.
    • iso-O-notaatio.
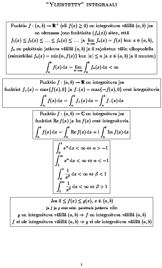
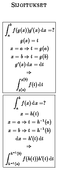
    • Integrointi (Ad: 5.1-5.5 ja App.IV). Tiivistelmä
  12. vko
    • Integrointitekniikoita (Ad: 5.6, 6.2, 6.1 ja 6.5). Tiivistelmiä:
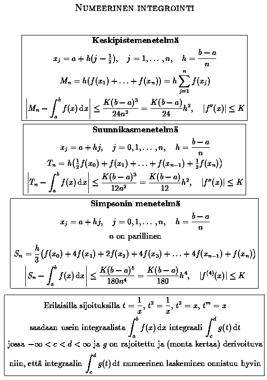
    • Numeerinen integrointi, trapetsimenetelmä (Ad: 6.6). Tiivistelmä
    • 3. VÄLIKOKEEN ALUE PÄÄTTYY TÄHÄN (Adams 2.11, 3.1-3.3, 3.5-3.6, 4.1-4.3, 4.5-4.9, 5.1-5.6, 6.1-6.2, 6.5-6.6, laskuharjoituskierrokset 9-12)

Syksyn 2006 luentoaikataulu sekä viittaukset Adamsin lukuihin löytyvät tästä.

Vuoden 2003 luentoaikataulu, sisältäen viittaukset Adamsin 3.painoksen lukuihin, löytyvät tästä.