Lectures on 2 point boundary value problems and related stuff

HA 9.3.-99

Weak solutions, distributions (to be completed later)

page 1 page 2 page 3

Two point boundary value problems a la T-W

page 1 page 2 page 3 page 4 page 5 page 6 page 7 page 8 page 9
page 10 page 11 page 12 page 13 page 14 page 15 page 16 page 17
page 18 page 19 page 20 page 21 page 22

Green's functions for Sturm-Liouville problems

Reference: Guenther-Lee: PDE of Math. Phys. and Int. Equ (L4 course book), pp. 223 - 230.

page 1 page 2 page 3 page 4

Misprints

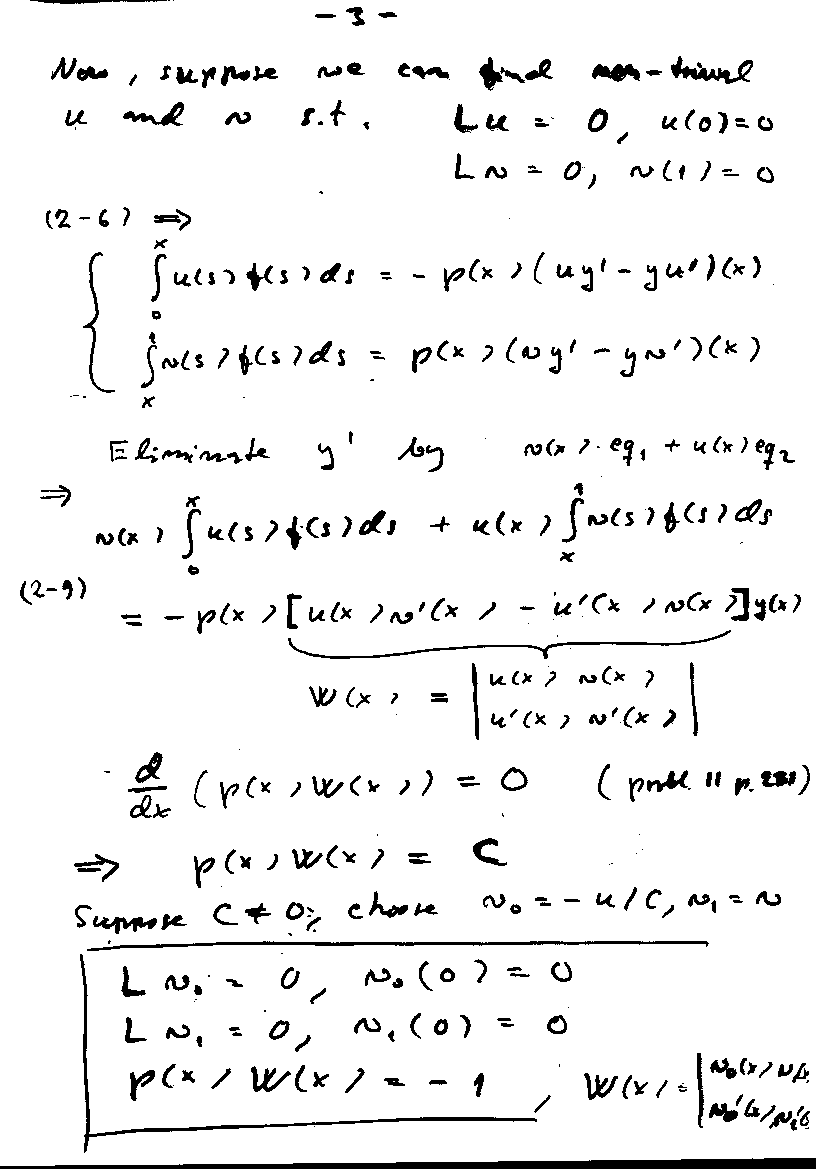
On Green p. 4 above there's an obvious misprint at "Construction of Green". Of course v1(1)=0. So:
  Lv0=0, v0(0)=0
  Lv1=0, v1(1)=0
  pW=-1